Auto Pyladeum apparatus

Brevi descriptio:

Productio Details
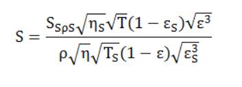
Productio DescriptioSZB-IX genus Lorem specifica superficies area mensuræ instrumentaccording ad requisita novum vexillum CBT8074-2008, in societatem et National Aedificium Materials RePRAETENDO Institute of SZB, inspectionem et Testing Center Developed A Nova -B-IX Type Cement. Et machina est regitur per unum-chip microcomputer et operated cum plena tactu claves ad statim control tota mensura processus. Automatarie memoria ad valorem instrumentum coefficientem, directe ostentationem specifica superficiem area valorem post mensuram, et statim memoria mensuras specifica superficiei regio valorem dum recording experimentum tempus.Technical parametri:I. Potentia copia voltage: 220v ± X%II. Leo range: 0.1 seconds-CMXCIX secondsIII. Morbi accurate <0.2 seconds = "">IV. Mensura accurate: V. Temperature Range: 8-34 ℃VI. SPECIAL SPECIAL AREA Value S: 0.1-9999 C² / GVII. Scope of Application: In Scope certa in GB / T8074-2008Download as PDF –>
Placere Contact Us Gere
Si vos have ullus questions de nostris Productus, placere sentire liberum consulere aliquando.
Contact Us
Leave Your Message

If you are interested in Nostrum ubers, you can choose to leave your information here, and we will be in touch with you shortly.